As part of this exercise, you will take a look at the Hubble Deep Field, an image that takes us far out into space and far back in time. To create it, the Hubble Space Telescope was programmed to expose its digital cameras for about 100 hours over the course of 10 days, pointed at a tiny spot on the celestial sphere region near the Big Dipper.
By deep, astronomers mean dim and distant. This is an image of the faintest objects ever detected. The Hubble Deep Field image reaches 30th magnitude, or about 4 billion times fainter than the naked human eye can see. However, deep was obtained at the expense of wide. The Hubble Deep Field image covers an area about 1/100 that of the full Moon.
After this image was obtained, the 10-meter diameter Keck telescope in Hawaii was used to observe the faint galaxies in the image. Astronomers have concluded that the small wisps are among the most distant objects ever seen. These objects may represent galaxies caught in the act of formation. In all, the number of galaxies in the image implies that there are about 40 billion galaxies in the observable universe.
Take a closer look at a variation of the Hubble
Deep Field (215K) image. Next to many of the galaxies is the redshift,
z, for that galaxy (except for a few cases, the corresponding galaxy
is usually the galaxy located to the upper left of the redshift
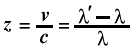
number). For nearby galaxies, where z is much less than 1, the
redshift is defined as:

Where
' is the measured wavelength,
is the rest wavelength, and v is the recessional velocity.
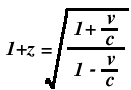
If you look closely at a few of the galaxies in the Deep Field, you will note that there are redshifts greater than one, e.g., 1.15, 2.23, 3.36, and as great as 4.02. Surprisingly, this does not mean v/c > 1 and that these galaxies are traveling faster than the speed of light. This is because once the redshift of a galaxy approaches 1, we must take special relativity into account through a modified version of the Doppler formula:

As the recessional velocity of the galaxy approaches the speed of light, the denominator becomes very small, so z approaches infinity.